CAVITATION AND BUBBLE DYNAMICS
by   Christopher Earls Brennen   © Oxford University Press 1995
CHAPTER 6.
HOMOGENEOUS BUBBLY FLOWS
6.1 INTRODUCTION
When the concentration of bubbles in a flow exceeds some small value the bubbles will begin to have a substantial effect on the fluid dynamics of the suspending liquid. Analyses of the dynamics of this multiphase mixture then become significantly more complicated and important new phenomena may be manifest. In this chapter we discuss some of the analyses and phenomena that may occur in bubbly multiphase flow.
In the larger context of practical multiphase (or multicomponent) flows one finds a wide range of homogeneities, from those consisting of one phase (or component) that is very finely dispersed within the other phase (or component) to those that consist of two separate streams of the two phases (or components). In between are topologies that are less readily defined. The two asymptotic states are conveniently referred to as homogeneous and separated flow. One of the consequences of the topology is the extent to which relative motion between the phases can occur. It is clear that two different streams can readily travel at different velocities, and indeed such relative motion is an implicit part of the study of separated flows. On the other hand, it is clear from the results of Section 5.11 that any two phases could, in theory, be sufficiently well mixed and the disperse particle size sufficiently small so as to eliminate any significant relative motion. Thus the asymptotic limit of truly homogeneous flow precludes relative motion. Indeed, the term homogeneous flow is sometimes used to denote a flow with negligible relative motion. Many bubbly flows come close to this limit and can, to a first approximation, be considered to be homogeneous. In the present chapter we shall consider some of the properties of homogeneous bubbly flows.
In the absence of relative motion the governing mass and momentum conservation equations reduce to a form similar to those for single-phase flow. The effective mixture density, ρ, is defined by
where αN is the volume fraction of each of the N components or phases whose individual densities are ρN. Then the continuity and momentum equations for the homogeneous mixture are
......(6.1)
......(6.2) in the absence of viscous effects. As in single-phase flows the existence of a barotropic relation, p=f(ρ), would complete the system of equations. In some multiphase flows it is possible to establish such a barotropic relation, and this allows one to anticipate (with, perhaps, some minor modification) that the entire spectrum of phenomena observed in single-phase gas dynamics can be expected in such a two-phase flow. In this chapter we shall not dwell on this established body of literature. Rather, we shall confine attention to the identification of a barotropic relation (if any) and focus on some flows in which there are major departures from the conventional gas dynamic behavior.
......(6.3) From a thermodynamic point of view the existence of a barotropic relation, p=f(ρ), and its associated sonic speed,
implies that some thermodynamic property is considered to be held constant. In single-phase gas dynamics this quantity is usually the entropy and occasionally the temperature. In multiphase flows the alternatives are neither simple nor obvious. In single-phase gas dynamics it is commonly assumed that the gas is in thermodynamic equilibrium at all times. In multiphase flows it is usually the case that the two phases are not in thermodynamic equilibrium with each other. These are some of the questions one must address in considering an appropriate homogeneous flow model for a multiphase flow. We begin in the next section by considering the sonic speed of a two-phase or two-component mixture.
......(6.4)
6.2 SONIC SPEED
Consider an infinitesmal volume of a mixture consisting of a disperse phase denoted by the subscript A and a continuous phase denoted by the subscript B. For convenience assume the initial volume to be unity. Denote the initial densities by ρA and ρB and the initial pressure in the continuous phase by pB. Surface tension, S, can be included by denoting the radius of the disperse phase particles by R. Then the initial pressure in the disperse phase is pA=pB+2S/R.
Now consider that the pressure, pA, is changed to pA+δpA where the difference δpA is infinitesmal. Any dynamics associated with the resulting fluid motions will be ignored for the moment. It is assumed that a new equilibrium state is achieved and that, in the process, a mass, δm, is transferred from the continuous to the disperse phase. It follows that the new disperse and continuous phase masses are ρAαA+δm and ρBαB-δm respectively where, of course, αB=1-αA. Hence the new disperse and continuous phase volumes are respectively
and
......(6.5) where the thermodynamic constraints QA and QB are, as yet, unspecified. Adding these together and subtracting unity, one obtains the change in total volume, δV, and hence the sonic velocity, c, as
......(6.6)
......(6.7) where, as defined in Equation 6.1, ρ=ρAαA+ρBαB. If one assumes that no disperse particles are created or destroyed, then the ratio δpA/δpB may be determined by evaluating the new disperse particle size R+δR commensurate with the new disperse phase volume and using the relation δpA=δpB-2S δR/R2:
......(6.8) Substituting this into Equation 6.8 and using, for convenience, the notation
......(6.9) the result can be written as
......(6.10) This is incomplete in several respects. First, appropriate thermodynamic constraints QA and QB must be identified. Second, some additional constraint is necessary to establish the relation δm/δpB. But before entering into a discussion of appropriate practical choices for these constraints (see Section 6.3) several simpler versions of Equation 6.11 should be discussed.
......(6.11) We first observe that in the absence of any exchange of mass between the components the result reduces to
In most practical cases one can neglect the surface tension effect since S « ρAcA2R and Equation 6.12 becomes
......(6.12) In other words, the acoustic impedance 1/ρc2 for the mixture is simply given by the average of the acoustic impedance of the components weighted according to their volume fractions.
......(6.13) Perhaps the most dramatic effects occur when one of the components is a gas (subscript G), which is much more compressible than the other component (a liquid or solid, subscript L). In the absence of surface tension (p=pG=pL), according to Equation 6.13, it matters not whether the gas is the continuous or the disperse phase. Denoting αG by α for convenience and assuming the gas is perfect and behaves polytropically so that ρGk is proportional to p, Equation 6.13 may be written as
This is the familiar form for the sonic speed in a two-component gas/liquid or gas/solid flow. In many applications p/ρLcL2 « 1 and hence this expression may be further simplified to
......(6.14) Note however, that this approximation will not hold for small values of the gas volume fraction α.
......(6.15) Equation 6.14 and its special properties were first identified by Minnaert (1933). It clearly exhibits one of the most remarkable features of the sonic velocity of gas/liquid or gas/solid mixtures. The sonic velocity of the mixture can be very much smaller than that of either of its constituents. This is illustrated in Figure 6.1 where the speed of sound, c, in an air/water bubbly mixture is plotted against the air volume fraction, α. Results are shown for both isothermal (k=1) and adiabatic (k=1.4) bubble behavior using Equation 6.14 or 6.15, the curves for these two equations being indistinguishable on the scale of the figure. Note that sonic velocities as low as 20m/s occur.
![]()
Figure 6.1 The sonic velocity in a bubbly air/water mixture at atmospheric pressure for k=1.0 and 1.4. Experimental data presented is from Karplus (1958) and Gouse and Brown (1964) for frequencies of 1kHz (circles), 0.5kHz (squares), and extrapolated to zero frequency(triangles). Also shown in Figure 6.1 is experimental data of Karplus (1958) and Gouse and Brown (1964). We shall see later (Section 6.8) that the dynamics of the bubble volume change cause the sound speed to be a function of the frequency. Data for sound frequencies of 1.0kHz and 0.5kHz are shown, as well as data extrapolated to zero frequency. The last should be compared with the analytical results presented here since the analysis of this section neglects bubble dynamic effects. Note that the data corresponds to the isothermal theory, indicating that the heat transfer between the bubbles and the liquid is sufficient to maintain the air in the bubbles at roughly constant temperature.
Further discussion of the acoustic characteristics of dilute bubbly mixtures is delayed until Section 6.8.
6.3 SONIC SPEED WITH CHANGE OF PHASE
Turning now to the behavior of a two-phase rather than two-component mixture, it is necessary not only to consider the additional thermodynamic constraint required to establish the mass exchange, δm, but also to reconsider the two thermodynamic constraints, QA and QB, which were implicit in the two-component analysis. These latter constraints were implicit in the choice of the polytropic index, k, for the gas and the choice of the sonic speed, cL, for the liquid. Note that a nonisentropic choice for k (for example, k=1) implies that heat is exchanged between the components, and yet this heat transfer process was not explicitly considered, nor was an overall thermodynamic contraint such as might be placed on the global change in entropy.
We shall see that the two-phase case requires more intimate knowledge of these factors because the results are more sensitive to the thermodynamic constraints. In an ideal, infinitely homogenized mixture of vapor and liquid the phases would everywhere be in such close proximity to each other that heat transfer between the phases would occur instantaneously. The entire mixture of vapor and liquid would then always be in thermodynamic equilibrium. Indeed, one model of the response of the mixture, called the homogeneous equilibrium model, assumes this to be the case. In practice, however, one seeks results for bubbly flows and mist flows in which heat transfer between the phases does not occur so readily. A second common model assumes zero heat transfer between the phases and is known as the homogeneous frozen model. In many circumstances the actual response lies somewhere between these extremes. A limited amount of heat transfer occurs between those portions of each phase that are close to the interface. In order to incorporate this in the analysis, we adopt an approach that includes the homogeneous equilibrium and homogeneous frozen responses as special cases but that requires a minor adjustment to the analysis of the last section in order to reflect the degree of thermal exchange between the phases. As in the last section the total mass of the phases A and B after application of the incremental pressure, δp, are ρAαA+δm and ρBαB-δm, respectively. We now define the fractions of each phase, εA and εB which, because of their proximity to the interface, exchange heat and therefore approach thermodynamic equilibrium with each other. The other fractions (1-εA) and (1-εB) are assumed to be effectively insulated so that they behave isentropically. This is, of course, a crude simplification of the actual circumstances, but it permits qualitative assessment of practical flows.
It follows that the volumes of the four fractions following the incremental change in pressure, δp, are
where the subscripts S and E refer to isentropic and phase equilibrium derivatives, respectively. Then the change in total volume leads to the following modified form for Equation 6.11 in the absence of surface tension:
......(6.16)
......(6.17) The exchange of mass, δm, is now determined by imposing the constraint that the entropy of the whole be unchanged by the perturbation. The entropy prior to δp is
where sA and sB are the specific entropies of the two phases. Following the application of δp, the entropy is
......(6.18) Equating 6.18 and 6.19 and writing the result in terms of the specific enthalpies hA and hB rather than sA and sB, one obtains
......(6.19) Note that if the communicating fractions εA and εB were both zero, this would imply no exchange of mass. Thus εA=εB=0 corresponds to the homogeneous frozen model (in which δm=0) whereas εA=εB=1 clearly yields the homogeneous equilibrium model.
......(6.20) Substituting Equation 6.20 into Equation 6.17 and rearranging the result, one can write
where the quantities fA, fB, gA, and gB are purely thermodynamic properties of the two phases defined by
......(6.21) The sensitivity of the results to the, as yet, unspecified quantitives εA and εB does not emerge until one substitutes vapor and liquid for the phases A and B (A=V, B=L, and αA=α, αB=1-α for simplicity). The functions fL, fB, gL, and gV then become
......(6.22) where L=hV -hL is the latent heat. It is normally adequate to approximate fV and fL by the reciprocal of the ratio of specific heats for the gas and zero respectively. Thus fV is of order unity and fL is very small. Furthermore gL and gV can readily be calculated for any fluid as functions of pressure or temperature. Some particular values are shown in Figure 6.2. Note that gV is close to unity for most fluids except in the neighborhood of the critical point. On the other hand, gL can be a large number that varies considerably with pressure. To a first approximation, gL is given by g*(pC/p)η where pC is the critical pressure and, as indicated in Figure 6.2, g* and η are respectively 1.67 and 0.73 for water. Thus, in summary, fL≈0, fV and gV are of order unity, and gL varies significantly with pressure and may be large.
......(6.23)
![]()
Figure 6.2 Typical values of the liquid index, gL, and the vapor index, gV, for various fluids. With these magnitudes in mind, we now examine the sensitivity of 1/ρc2 to the interacting fluid fractions εL and εV:
Using gL=g*(pC/p)η this is written for future convenience in the form:
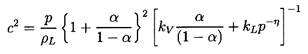
......(6.24) where kV=(1-εV)fV+εVgV and kL=εLg*(pC)η.
......(6.25) Note first that the result is rather insensitive to εV since fV and gV are both of order unity. On the other hand 1/ρc2 is sensitive to the interacting liquid fraction εL though this sensitivity disappears as α approaches 1, in other words for mist flow. Thus the choice of εL is most important at low vapor volume fractions (for bubbly flows). In such cases, one possible qualitative estimate is that the interacting liquid fraction, εL, should be of the same order as the gas volume fraction, α. In Section 6.6 we will examine the effect of the choice of εL and εV on a typical vapor/liquid flow and compare the model with experimental measurements.
Conceptually, the expressions for the sonic velocity, Equations 6.13, 6.14, 6.15, or 6.24, need only be integrated (after substituting c2=dp/dρ) in order to obtain the barotropic relation, p(ρ), for the mixture. In practice this is algebraically complicated except for some of the simpler forms for c2.
Consider first the case of the two-component mixture in the absence of mass exchange or surface tension as given by Equation 6.14. It will initially be assumed that the gas volume fraction is not too small so that Equation 6.15 can be used; we will return later to the case of small gas volume fraction. It is also assumed that the liquid or solid density, ρL, is constant and that p is proportional to ρGk. Furthermore it is convenient, as in gas dynamics, to choose reservoir conditions, p=po, α=αo, ρG=ρGo to establish the integration constants. Then it follows from the integration of Equation 6.15 that
and that
......(6.26) where ρo=ρL(1-αo)+ρGoαo. It also follows that, written in terms of α,
......(6.27) As will be discussed later, Tangren, Dodge, and Seifert (1949) first made use of a more limited form of the barotropic relation of Equation 6.27 to evaluate the one-dimensional flow of gas/liquid mixtures in ducts and nozzles.
......(6.28) In the case of very small gas volume fractions, α, it may be necessary to include the liquid compressibility term, 1-α/ρLcL2, in Equation 6.14. Exact integration then becomes very complicated. However, it is sufficiently accurate at small gas volume fractions to approximate the mixture density ρ by ρL(1-α), and then integration (assuming ρLcL2 = constant) yields
and the sonic velocity can be expressed in terms of p/po alone by using Equation 6.29 and noting that
......(6.29) Implicit within Equation 6.29 is the barotropic relation, p(α), analogous to Equation 6.27. Note that Equation 6.29 reduces to Equation 6.27 when po/ρLcL2 is set equal to zero. Indeed, it is clear from Equation 6.29 that the liquid compressibility has a negligible effect only if αo » po/ρLcL2. This parameter, po/ρLcL2, is usually quite small. For example, for saturated water at 5×107kg/m sec2 (500psi) the value of po/ρLcL2 is approximately 0.03. Nevertheless, there are many practical problems in which one is concerned with the discharge of a predominantly liquid medium from high pressure containers, and under these circumstances it can be important to include the liquid compressibility effects.
......(6.30) Now turning attention to a two-phase rather than two-component homogeneous mixture, the particular form of the sonic velocity given in Equation 6.25 may be integrated to yield the implicit barotropic relation
in which the approximation ρ≈ρL(1-α) has been used. As before, c2 may be expressed in terms of p/po alone by noting that
......(6.31) Finally, we note that close to α=1 the Equations 6.31 and 6.32 may fail because the approximation ρ≈ρL(1-α) is not sufficiently accurate.
......(6.32)
6.5 NOZZLE FLOWS
The barotropic relations of the last section can be used in conjunction with the steady, one-dimensional continuity and frictionless momentum equations,
and
......(6.33) to synthesize homogeneous multiphase flow in ducts and nozzles. The predicted phenomena are qualitatively similar to those in one-dimensional gas dynamics. The results for isothermal, two-component flow were first detailed by Tangren, Dodge, and Seifert (1949); more general results for any polytropic index are given in this section.
......(6.34) Using the barotropic relation given by Equation 6.27 and Equation 6.26 for the mixture density, ρ, to eliminate p and ρ from the momentum Equation 6.34, one obtains
which upon integration and imposition of the reservoir condition, uo=0, yields
......(6.35) Given the reservoir conditions po and αo as well as the polytropic index k and the liquid density (assumed constant), this relates the velocity, u, at any position in the duct to the gas volume fraction, α, at that location. The pressure, p, density, ρ, and volume fraction, α, are related by Equations 6.26 and 6.27. The continuity equation,
......(6.36) completes the system of equations by permitting identification of the location where p, ρ, u, and α occur from knowledge of the cross-sectional area, A.
......(6.37) As in gas dynamics the conditions at a throat play a particular role in determining both the overall flow and the mass flow rate. This results from the observation that Equations 6.33 and 6.31 may be combined to obtain
where c2=dp/dρ. Hence at a throat where dA/ds=0, either dp/ds=0, which is true when the flow is entirely subsonic and unchoked; or u=c, which is true when the flow is choked. Denoting choked conditions at a throat by the subscript *, it follows by equating the right-hand sides of Equations 6.28 and 6.36 that the gas volume fraction at the throat, α*, must be given when k≠1 by the solution of
......(6.38) or, in the case of isothermal gas behavior (k=1), by the solution of
......(6.39)
......(6.40) Thus the throat gas volume fraction, α*, under choked flow conditions is a function only of the reservoir gas volume fraction, αo, and the polytropic index. Solutions of Equations 6.39 and 6.40 for two typical cases, k=1.4 and k=1.0, are shown in Figure 6.3. The corresponding ratio of the choked throat pressure, p*, to the reservior pressure, po, follows immediately from Equation 6.27 given α=α* and is also shown in Figure 6.3. Finally, the choked mass flow rate,
C, follows as ρ*A*c* where A* is the cross-sectional area of the throat and
This dimensionless choked mass flow rate is exhibited in Figure 6.4 for k=1.4 and k=1.
......(6.41)
![]()
Figure 6.3 Critical or choked flow throat characteristics for the flow of a two-component gas/liquid mixture through a nozzle. On the left is the throat gas volume fraction as a function of the reservoir gas volume fraction, αo, for gas polytropic indices of k=1.0 and 1.4 and an incompressible liquid (solid lines) and for k=1 and a compressible liquid with po/ρLc2L=0.05 (dashed line). On the right are the corresponding ratios of critical throat pressure to reservoir pressure. Also shown is the experimental data of Symington (1978) and Muir and Eichhorn (1963). Data from the experiments of Symington (1978) and Muir and Eichhorn (1963) are included in Figures 6.3 and 6.4. Symington's data on the critical pressure ratio (Figure 6.3) is in good agreement with the isothermal (k=1) analysis indicating that, at least in his experiments, the heat transfer between the bubbles and the liquid is large enough to maintain constant gas temperature in the bubbles. On the other hand, the experiments of Muir and Eichhorn yielded larger critical pressure ratios and flow rates than the isothermal theory. However, Muir and Eichhorn measured significant slip between the bubbles and the liquid (strictly speaking the abscissa for their data in Figures 6.3 and 6.4 should be the upstream volumetric quality rather than the void fraction), and the discrepancy could be due to the errors introduced into the present analysis by the neglect of possible relative motion (see also van Wijngaarden 1972).
![]()
Figure 6.4 Dimensionless critical mass flow rate, /A*(poρo)½, as a function of αo for choked flow of a gas/liquid flow through a nozzle. Solid lines are incompressible liquid results for polytropic indices of 1.4 and 1.0. Dashed line shows effect of liquid compressibility for po/ρLcL2=0.05. The experimental data (circles) are from Muir and Eichhorn (1963).
Finally, the pressure, volume fraction, and velocity elsewhere in the duct or nozzle can be related to the throat conditions and the ratio of the area, A, to the throat area, A*. These relations, which are presented in Figures 6.5, 6.6, and 6.7 for the case k=1 and various reservoir volume fractions, αo, are most readily obtained in the following manner. Given αo and k, p*/po and α* follow from Figure 6.3. Then for p/po or p/p*, α and u follow from Equations 6.27 and 6.36 and the corresponding A/A* follows by using Equation 6.37. The resulting charts, Figures 6.5, 6.6, and 6.7, can then be used in the same way as the corresponding graphs in gas dynamics.
![]()
![]()
Figure 6.5 Ratio of the pressure, p, to the throat pressure, p*, for two-component flow in a duct with isothermal gas behavior. Figure 6.6 Ratio of the void fraction, α, to the throat void fraction, α*, for two-component flow in a duct with isothermal gas behavior.
![]()
Figure 6.7 Ratio of the velocity, u, to the throat velocity, u*, for two-component flow in a duct with isothermal gas behavior. If the gas volume fraction, αo, is sufficiently small so that it is comparable with po/ρLcL2, then the barotropic Equation 6.29 should be used instead of Equation 6.27. In cases like this in which it is sufficient to assume that ρ≈ρL(1-α), integration of the momentum Equation 6.34 is most readily accomplished by writing it in the form
Then substitution of Equation 6.29 for α/(1-α) leads in the present case to
......(6.42) The throat pressure, p* (or rather p*/po), is then obtained by equating the velocity u for p=p* from Equation 6.43 to the sonic velocity c at p=p* obtained from Equation 6.30. The resulting relation, though algebraically complicated, is readily solved for the critical pressure ratio, p*/po, and the throat gas volume fraction, α*, follows from Equation 6.29. Values of p*/po for k=1 and k=1.4 are shown in Figure 6.3 for the particular value of po/ρLcL2 of 0.05. Note that the most significant deviations caused by liquid compressibility occur for gas volume fractions of the order of 0.05 or less. The corresponding dimensionless critical mass flow rates,
......(6.43) C/A*(ρopo)½, are also readily calculated from
and sample results are shown in Figure 6.4.
......(6.44)
A barotropic relation, Equation 6.31, was constructed in Section 6.4 for the case of two-phase flow and, in particular, for vapor/liquid flow. This may be used to synthesize nozzle flows in a manner similar to the two-component analysis of the last section. Since the approximation ρ≈ρL(1-α) was used in deriving both Equation 6.31 and Equation 6.42, we may eliminate α/(1-α) from these equations to obtain the velocity, u, in terms of p/po:
To find the relation for the critical pressure ratio, p*/po, the velocity, u, must equated with the sonic velocity, c, as given by Equation 6.32:
......(6.45)
......(6.46) Though algebraically complicated, the equation that results when the right-hand sides of Equations 6.45 and 6.46 are equated can readily be solved numerically to obtain the critical pressure ratio, p*/po, for a given fluid and given values of αo, the reservoir pressure and the interacting fluid fractions εL and εV (see Section 6.3). Having obtained the critical pressure ratio, the critical vapor volume fraction, α*, follows from Equation 6.31 and the throat velocity, c*, from Equation 6.46. Then the dimensionless choked mass flow rate follows from the same relation as given in Equation 6.44.
Sample results for the choked mass flow rate and the critical pressure ratio are shown in Figures 6.8 and 6.9. Results for both homogeneous frozen flow (εL=εV=0) and for homogeneous equilibrium flow (εL=εV=1) are presented; note that these results are independent of the fluid or the reservoir pressure, po. Also shown in the figures are the theoretical results for various partially frozen cases for water at two different reservoir pressures. The interacting fluid fractions were chosen with the comment at the end of Section 6.3 in mind. Since εL is most important at low vapor volume fractions (i.e., for bubbly flows), it is reasonable to estimate that the interacting volume of liquid surrounding each bubble will be of the same order as the bubble volume. Hence εL=αo or αo/2 are appropriate choices. Similarly, εV is most important at high vapor volume fractions (i.e., droplet flows), and it is reasonable to estimate that the interacting volume of vapor surrounding each droplet would be of the same order as the droplet volume; hence εV=(1-αo) or (1-αo)/2 are appropriate choices.
![]()
Figure 6.8 The dimensionless choked mass flow rate, /A*(poρo)½, plotted against the reservoir vapor volume fraction, αo, for water/steam mixtures. The data shown is from the experiments of Maneely (1962) and Neusen (1962) for 100→200 psia (plus signs), 200→300 psia (×), 300→400 psia (squares), 400→500 psia (triangles), 500→600 psia (upsidedown triangles) and >600 psia (asterisks). The theoretical lines use g*=1.67, η=0.73, gV=0.91, and fV=0.769 for water.
Figures 6.8 and 6.9 also include data obtained for water by Maneely (1962) and Neusen (1962) for various reservoir pressures and volume fractions. Note that the measured choked mass flow rates are bracketed by the homogeneous frozen and equilibrium curves and that the appropriately chosen partially frozen analysis is in close agreement with the experiments, despite the neglect (in the present model) of possible slip between the phases. The critical pressure ratio data is also in good agreement with the partially frozen analysis except for some discrepancy at the higher reservoir volume fractions.
![]()
Figure 6.9 The ratio of critical pressure, p*, to reservoir pressure, po, plotted against the reservoir vapor volume fraction, αo, for water/steam mixtures. The data and the partially frozen model results are for the same conditions as in Figure 6.8. It should be noted that the analytical approach described above is much simpler to implement than the numerical solution of the basic equations suggested by Henry and Fauske (1971). The latter does, however, have the advantage that slip between the phases was incorporated into the model.
Finally, information on the pressure, volume fraction, and velocity elsewhere in the duct (p/p*, u/u*, and α/α*) as a function of the area ratio A/A* follows from a procedure similar to that used for the noncondensable case in Section 6.5. Typical results for water with a reservoir pressure, po, of 500psia and using the partially frozen analysis with εV=αo/2 and εL=(1-αo)/2 are presented in Figures 6.10, 6.11, and 6.12. In comparing these results with those for the two-component mixture (Figures 6.5, 6.6, and 6.7) we observe that the pressure ratios are substantially smaller and do not vary monotonically with αo. The volume fraction changes are smaller, while the velocity gradients are larger.
![]()
Figure 6.10 Ratio of the pressure, p, to the critical pressure, p*, as a function of the area ratio, A*/A, for the case of water with g*=1.67, η=0.73, gV=0.91, and fV=0.769.
![]()
![]()
Figure 6.11 Ratio of the vapor volume fraction, α, to the critical vapor volume fraction, α*, as a function of area ratio for the same case as Figure 6.10. Figure 6.12 Ratio of the velocity, u, to the critical velocity, u*, as a function of the area ratio for the same case as Figure 6.10.
6.7 FLOWS WITH BUBBLE DYNAMICS
Up to this point the analyses have been predicated on the existence of an effective barotropic relation for the homogeneous mixture. Indeed, the construction of the sonic speed in Sections 6.2 and 6.3 assumes that all the phases are in dynamic equilibrium at all times. For example, in the case of bubbles in liquids, it is assumed that the response of the bubbles to the change in pressure, δp, is an essentially instantaneous change in their volume. In practice this would only be the case if the typical frequencies experienced by the bubbles in the flow are very much smaller than the natural frequencies of the bubbles themselves (see Section 4.2). Under these circumstances the bubbles would behave quasistatically and the mixture would be barotropic.
In this section we shall examine some flows in which this criterion is not met. Then the dynamics of individual bubbles as manifest by the Rayleigh-Plesset Equation 2.12 should be incorporated into the solutions of the problem. The mixture will no longer behave barotropically.
Viewing it from another perspective, we note that analyses of cavitating flows often consist of using a single-phase liquid pressure distribution as input to the Rayleigh-Plesset equation. The result is the history of the size of individual cavitating bubbles as they progress along a streamline in the otherwise purely liquid flow. Such an approach entirely neglects the interactive effects that the cavitating bubbles have on themselves and on the pressure and velocity of the liquid flow. The analysis that follows incorporates these interactions using the equations for nonbarotropic homogeneous flow.
It is assumed that the ratio of liquid to vapor density is sufficiently large so that the volume of liquid evaporated or condensed is negligible. It is also assumed that bubbles are neither created or destroyed. Then the appropriate continuity equation is
where η is the population or number of bubbles per unit volume of liquid and τ(xi ,t) is the volume of individual bubbles. The above form of the continuity equation assumes that η is uniform; such would be the case if the flow originated from a uniform stream of uniform population and if there were no relative motion between the bubbles and the liquid. Note also that α=ητ/(1+ητ) and the mixture density, ρ≈ρL(1-α)=ρL/(1+ητ). This last relation can be used to write the momentum Equation 6.3 in terms of τ rather than ρ:
......(6.47) The hydrostatic pressure gradient due to gravity has been omitted for simplicity.
......(6.48) Finally the Rayleigh-Plesset Equation 2.12 relates the pressure p and the bubble volume, τ=4πR3/3:
where pB, the pressure within the bubble, will be represented by the sum of a partial pressure, pV, of the vapor plus a partial pressure of noncondensable gas as given in Equation 2.11.
......(6.49) Equations 6.47, 6.48, and 6.49 can, in theory, be solved to find the unknowns p(xi ,t), ui(xi ,t), and τ(xi ,t) (or R(xi ,t)) for any bubbly cavitating flow. In practice the nonlinearities in the Rayleigh-Plesset equation and in the Lagrangian derivative, D/Dt=∂/∂t+ui∂/∂xi, present serious difficulties for all flows except those of the simplest geometry. In the following sections several such flows are examined in order to illustrate the interactive effects of bubbles in cavitating flows and the role played by bubble dynamics in homogeneous flows.
6.8 ACOUSTICS OF BUBBLY MIXTURES
One class of phenomena in which bubble dynamics can play an important role is the acoustics of dilute bubbly mixtures. When the acoustic excitation frequency approaches the natural frequency of the bubbles, the latter no longer respond in the quasistatic manner assumed in Section 6.2, and both the propagation speed and the acoustic attenuation are significantly altered. An excellent review of this subject is given by van Wijngaarden (1972) and we will include here only a summary of the key results. This class of problems has the advantage that the magnitude of the perturbations is small so that the equations of the preceding section can be greatly simplified by linearization.
Hence the pressure, p, will be represented by the following sum:
where
......(6.50) is the mean pressure, ω is the frequency, and
is the small amplitude pressure perturbation. The response of a bubble will be similarly represented by a perturbation,
, to its mean radius, Ro, such that
and the linearization will neglect all terms of order
......(6.51) 2 or higher.
The literature on the acoustics of dilute bubbly mixtures contains two complementary analytical approaches. In important papers, Foldy (1945) and Carstensen and Foldy (1947) applied the classical acoustical approach and treated the problem of multiple scattering by randomly distributed point scatterers representing the bubbles. The medium is assumed to be very dilute (α « 1). The multiple scattering produces both coherent and incoherent contributions. The incoherent part is beyond the scope of this text. The coherent part, which can be represented by Equation 6.50, was found to satsify a wave equation and yields a dispersion relation for the wavenumber, k, of plane waves, which implies a phase velocity, ck=ω/k, given by (see van Wijngaarden 1972)
Here cL is the sonic speed in the liquid, co is the sonic speed arising from Equation 6.15 when αρG « (1-α)ρL,
......(6.52) ωN is the natural frequency of a bubble in an infinite liquid (Section 4.2), and δD is a dissipation coefficient that will be discussed shortly. It follows from Equation 6.52 that scattering from the bubbles makes the wave propagation dispersive since ck is a function of the frequency, ω.
......(6.53) As described by van Wijngaarden (1972) an alternative approach is to linearize the fluid mechanical Equations 6.47, 6.48, and 6.49, neglecting any terms of order
2 or higher. In the case of plane wave propagation in the direction x (velocity u) in a frame of reference relative to the mixture (so that the mean velocity is zero), the convective terms in the Lagrangian derivatives, D/Dt, are of order
2 and the three governing equations become
......(6.54)
......(6.55) Assuming for simplicity that the liquid is incompressible (ρL=constant) and eliminating two of the three unknown functions from these relations, one obtains the following equation for any one of the three perturbation quantities (q=
......(6.56) ,
, or
, the velocity perturbation):
where αo is the mean void fraction given by αo=ητo/(1+ητo). This equation governing the acoustic perturbations is given by van Wijngaarden, though we have added the surface tension term. Since the mean state must be in equilibrium, the mean liquid pressure,
......(6.57) , is related to pGo by
and hence the term in square brackets in Equation 6.57 may be written in the alternate forms
......(6.58) where ωN is the natural frequency of a single bubble in an infinite liquid (see Section 4.2).
......(6.59) Results for the propagation of a plane wave in the positive x direction are obtained by substituting q=e-jkx in Equation 6.57 to produce the following dispersion relation:
Note that at the low frequencies for which one would expect quasistatic bubble behavior (ω « ωN) and in the absence of vapor (pV=0) and surface tension, this reduces to the sonic velocity given by Equation 6.15 when ρGα « ρL(1-α). Furthermore, Equation 6.60 may be written as
......(6.60) where δD=4νL/ωNRo2. For the incompressible liquid assumed here this is identical to Equation 6.52 obtained using the Foldy multiple scattering approach (the difference in sign for the damping term results from using j(ωt-kx) rather than j(kx-ωt) and is inconsequential).
......(6.61) In the above derivation, the only damping mechanism that was included was that due to viscous effects on the radial motion of the bubbles. As discussed in Section 4.4, other damping mechanisms (thermal and acoustic radiation) that may affect radial bubble motion can be included in approximate form in the above analysis by defining an ``effective'' damping, δD, or, equivalently, an effective liquid viscosity, μE=ωNRo2δD/4.
The real and imaginary parts of k as defined by Equation 6.61 lead respectively to a sound speed and an attenuation that are both functions of the frequency of the perturbations. A number of experimental investigations have been carried out (primarily at very small α) to measure the sound speed and attenuation in bubbly gas/liquid mixtures. This data is reviewed by van Wijngaarden (1972) who concentrates on the more recent experiments of Fox, Curley, and Lawson (1955), Macpherson (1957), and Silberman (1957), in which the bubble size distribution was more accurately measured and controlled. In general, the comparison between the experimental and theoretical propagation speeds is good, as illustrated by Figure 6.13. One of the primary experimental difficulties illustrated in both Figures 6.13 and 6.14 is that the results are quite sensitive to the distribution of bubble sizes present in the mixture. This is caused by the fact that the bubble natural frequency is quite sensitive to the mean radius (see Section 4.2). Hence a distribution in the size of the bubbles yields broadening of the peaks in the data of Figures 6.13 and 6.14.
![]()
Figure 6.13 Sonic speed for water with air bubbles of mean radius, Ro=0.12 mm, and a void fraction, α=0.0002, plotted against frequency. The experimental data of Fox, Curley, and Larson (1955) is plotted along with the theoretical curve for a mixture with identical Ro=0.11mm bubbles (dotted line) and with the experimental distribution of sizes (solid line). These lines use δ=0.5.
![]()
Figure 6.14 Values for the attenuation of sound waves corresponding to the sonic speed data of Figure 6.13. The attenuation in dB/cm is given by 8.69Im{k} where k is in cm-1. Though the propagation speed is fairly well predicted by the theory, the same cannot be said of the attenuation, and there remain a number of unanswered questions in this regard. Using Equation 6.61 the theoretical estimate of the damping coefficient, δD, pertinent to the experiments of Fox, Curley, and Lawson (1955) is 0.093. But a much greater value of δD=0.5 had to be used in order to produce an analytical line close to the experimental data on attenuation; it is important to note that the empirical value, δD=0.5, has been used for the theoretical results in Figure 6.14. On the other hand, Macpherson (1957) found good agreement between a measured attenuation corresponding to δD≈0.08 and the estimated analytical value of 0.079 relevant to his experiments. Similar good agreement was obtained for both the propagation and attenuation by Silberman (1957). Consequently, there appear to be some unresolved issues insofar as the attenuation is concerned. Among the effects that were omitted in the above analysis and that might contribute to the attenuation is the effect of the relative motion of the bubbles. However, Batchelor (1969) has concluded that the viscous effects of translational motion would make a negligible contribution to the total damping.
Finally, it is important to emphasize that virtually all of the reported data on attenuation is confined to very small void fractions of the order of 0.0005 or less. The reason for this is clear when one evaluates the imaginary part of k from Equation 6.61. At these small void fractions the damping is proportional to α. Consequently, at large void fraction of the order, say, of 0.05, the damping is 100 times greater and therefore more difficult to measure accurately.
6.9 SHOCK WAVES IN BUBBLY FLOWS
The propagation and structure of shock waves in bubbly cavitating flows represent a rare circumstance in which fully nonlinear solutions of the governing equations can be obtained. Shock wave analyses of this kind have been investigated by Campbell and Pitcher (1958), Crespo (1969), Noordzij (1973), and Noordzij and van Wijngaarden (1974), among others, and for more detail the reader should consult these works. Since this chapter is confined to flows without significant relative motion, this section will not cover some of the important effects of relative motion on the structural evolution of shocks in bubbly liquids. For this the reader is referred to Noordzij and van Wijngaarden (1974).
Consider a normal shock wave in a coordinate system moving with the shock so that the flow is steady and the shock stationary. If x and u represent a coordinate and the fluid velocity normal to the shock, then continuity requires
where ρ1 and u1 will refer to the mixture density and velocity far upstream of the shock. Hence u1 is also the velocity of propagation of a shock into a mixture with conditions identical to those upstream of the shock. It is assumed that ρ1≈ρL(1-α1)=ρL/(1+ητ1) where the liquid density is considered constant and α1, τ1=4πR13/3, and η are the void fraction, individual bubble volume, and population of the mixture far upstream.
......(6.62) Substituting for ρ in the equation of motion and integrating, one also obtains
This expression for the pressure, p, may be substituted into the Rayleigh-Plesset equation using the observation that, for this steady flow,
......(6.63)
......(6.64) where τ=4πR3/3 has been used for clarity. It follows that the structure of the flow is determined by solving the following equation for R(x):
......(6.65)
......(6.66) It will be found that dissipation effects in the bubble dynamics (see Sections 4.3 and 4.4) strongly influence the structure of the shock. Only one dissipative term, that term due to viscous effects (last term on the left-hand side) has been included in Equation 6.66. However, note that the other dissipative effects may be incorporated approximately (see Section 4.4) by regarding νL as a total ``effective" damping viscosity.
The pressure within the bubble is given by
and the equilibrium state far upstream must satisfy
......(6.67) Furthermore, if there exists an equilibrium state far downstream of the shock (this existence will be explored shortly), then it follows from Equations 6.66 and 6.67 that the velocity, u1, must be related to the ratio, R2/R1 (where R2 is the bubble size downstream of the shock), by
......(6.68) where α2 is the void fraction far downstream of the shock and
......(6.69)
......(6.70) Hence the ``shock velocity,'' u1, is given by the upstream flow parameters α1, (p1-pV)/ρL, and 2S/ρLR1, the polytropic index, k, and the downstream void fraction, α2. An example of the dependence of u1 on α1 and α2 is shown in Figure 6.15 for selected values of (p1-pV)/ρL=100m2/sec2, 2S/ρLR1=0.1m2/sec2, and k=1.4. Also displayed by the dotted line in this figure is the sonic velocity of the mixture, c1, under the upstream conditions (actually the sonic velocity at zero frequency); it is readily shown that c1 is given by
......(6.71)
![]()
Figure 6.15 Shock speed, u1, as a function of the upstream and downstream void fractions, α1 and α2, for the particular case (p1-pV)/ρL=100 m2/sec2, 2S/ρLR1=0.1 m2/sec2, and k=1.4. Also shown by the dotted line is the sonic velocity, c1, under the same upstream conditions. Alternatively, one may follow the presentation conventional in gas dynamics and plot the upstream Mach number, u1/c1, as a function of α1 and α2. The resulting graphs are functions only of two parameters, the polytropic index, k, and the parameter, R1(p1-pV)/S. An example is included as Figure 6.16 in which k=1.4 and R1(p1-pV)/S=200. It should be noted that a real shock velocity and a real sonic speed can exist even when the upstream mixture is under tension (p1<pV). However, the numerical value of the tension, pV -p1, for which the values are real is limited to values of the parameter R1(p1-pV)/2S > -(1-1/3k) or -0.762 for k=1.4. Also note that Figure 6.16 does not change much with the parameter, R1(p1-pV)/S.
![]()
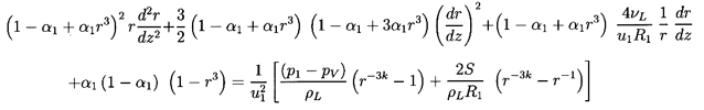
Figure 6.16 The upstream Mach number, u1/c1, as a function of the upstream and downstream void fractions, α1 and α2, for k=1.4 and R1(p1-pV)/S=200. Bubble dynamics do not affect the results presented thus far since the speed, u1, depends only on the equilibrium conditions upstream and downstream. However, the existence and structure of the shock depend on the bubble dynamic terms in Equation 6.66. That equation is more conveniently written in terms of a radius ratio, r=R/R1, and a dimensionless coordinate, z=x/R1:
It could also be written in terms of the void fraction, α, since
......(6.72) When examined in conjunction with the expression in Equation 6.69 for u1, it is clear that the solution, r(z) or α(z), for the structure of the shock is a function only of α1, α2, k, R1(p1-pV)/S, and the effective Reynolds number, u1R1/νL, which, as previously mentioned, should incorporate the various forms of bubble damping.
......(6.73)
![]()
Figure 6.17 The typical structure of a shock wave in a bubbly mixture is illustrated by these examples for α1=0.3, k=1.4, R1(p1-pV)/S » 1, and u1R1/νL=100. Equation 6.72 can be readily integrated numerically using Runge-Kutta procedures, and typical solutions are presented in Figure 6.17 for α1=0.3, k=1.4, R1(p1-pV)/S » 1, u1R1/νL=100, and two downstream volume fractions, α2=0.1 and 0.05. These examples illustrate several important features of the structure of these shocks. First, the initial collapse is followed by many rebounds and subsequent collapses. The decay of these nonlinear oscillations is determined by the damping or u1R1/νL. Though u1R1/νL includes an effective kinematic viscosity to incorporate other contributions to the bubble damping, the value of u1R1/νL chosen for this example is probably smaller than would be relevant in many practical applications, in which we might expect the decay to be even smaller. It is also valuable to identify the nature of the solution as the damping is eliminated (u1R1/νL→∞). In this limit the distance between collapses increases without bound until the structure consists of one collapse followed by a downstream asymptotic approach to a void fraction of α1 ( not α2). In other words, no solution in which α→α2 exists in the absence of damping.
![]()
Figure 6.18 The ratio of the ring frequency downstream of a bubbly mixture shock to the natural frequency of the bubbles far downstream as a function of the effective damping parameter, νL/u1R1, for α1=0.3 and various downstream void fractions as indicated. Another important feature in the structure of these shocks is the typical interval between the downstream oscillations. This ``ringing'' will, in practice, result in acoustic radiation at frequencies corresponding to this interval, and it is of importance to identify the relationship between this ring frequency and the natural frequency of the bubbles downstream of the shock. A characteristic ring frequency, ωR, for the shock oscillations can be defined as
where Δx is the distance between the first and second bubble collapses. The natural frequency of the bubbles far downstream of the shock, ω2, is given by (see Section 4.2)
......(6.74) and typical values for the ratio ωR/ω2 are presented in Figure 6.18 for α1=0.3, k=1.4, R1(p1-pV)/S » 1, and various values of α2. Similar results were obtained for quite a wide range of values of α1. Therefore note that the frequency ratio is primarily a function of the damping and that ring frequencies up to a factor of 10 less than the natural frequency are to be expected with typical values of the damping in water. This reduction in the typical frequency associated with the collective behavior of bubbles presages the natural frequencies of bubble clouds, which are discussed in the next section.
......(6.75)
A second illustrative example of the effect of bubble dynamics on the behavior of a homogeneous bubbly mixture is the study of the dynamics of a finite cloud of bubbles. Clouds of bubbles occur in many circumstances. For example, breaking waves generate clouds of bubbles as illustrated in Figure 6.19, and these affect the acoustic environment in the ocean.
![]()
Figure 6.19 Photograph of a breaking wave showing the resulting cloud of bubbles. The vertical distances between the crosses is about 5 cm. Reproduced from Petroff (1993) with the author's permission. One of the earliest investigations of the collective dynamics of bubble clouds was the work of van Wijngaarden (1964) on the oscillations of a layer of bubbles near a wall. Later d'Agostino and Brennen (1983) investigated the dynamics of a spherical cloud (see also d'Agostino and Brennen 1989, Omta 1987), and we will choose the latter as a example of that class of problems with one space dimension in which analytical solutions may be obtained but only after linearization of the Rayleigh-Plesset Equation 6.49.
![]()
Figure 6.20 Spherical cloud of bubbles: notation. The geometry of the spherical cloud is shown in Figure 6.20. Within the cloud of radius, A(t), the population of bubbles per unit liquid volume, η, is assumed constant and uniform. The linearization assumes small perturbations of the bubbles from an equilibrium radius, Ro:
We will seek the response of the cloud to a correspondingly small perturbation in the pressure at infinity, p∞(t), which is represented by
......(6.76) where
......(6.77) is the mean, uniform pressure and
and ω are the perturbation amplitude and frequency, respectively. The solution will relate the pressure, p(r,t), radial velocity, u(r,t), void fraction, α(r,t), and bubble perturbation,
(r,t), to
. Since the analysis is linear, the response to excitation involving multiple frequencies can be obtained by Fourier synthesis.
One further restriction is necessary in order to linearize the governing Equations 6.47, 6.48, and 6.49. It is assumed that the mean void fraction in the cloud, αo, is small so that the term (1+ ητ) in Equations 6.47 and 6.48 is approximately unity. Then these equations become
......(6.78) It is readily shown that the velocity u is of order
......(6.79) and hence the convective component of the material derivative is of order
2; thus the linearization implies replacing D/Dt by ∂/∂t. It then follows from the Rayleigh-Plesset equation that to order
![]()
where ωN is the natural frequency of an individual bubble if it were alone in an infinite fluid (equation 4.8). It must be assumed that the bubbles are in stable equilibrium in the mean state so that ωN is real.
......(6.80) Upon substitution of Equations 6.76 and 6.80 into 6.78 and 6.79 and elimination of u(r,t) one obtains the following equation for
(r,t) in the domain r<A(t):
The incompressible liquid flow outside the cloud, r≥A(t), must have the standard solution of the form:
......(6.81)
......(6.82) where C(t) is of perturbation order. It follows that, to the first order in
......(6.83) (r,t), the continuity of u(r,t) and p(r,t) at the interface between the cloud and the pure liquid leads to the following boundary condition for
(r,t):
The solution of Equation 6.81 under the above boundary condition is
......(6.84) where:
......(6.85) Another possible solution involving cos λr/λr has been eliminated since
......(6.86) (r,t) must clearly be finite as r→0. Therefore in the domain r<Ao:
......(6.87)
......(6.88) The entire flow has thus been determined in terms of the prescribed quantities Ao, Ro, η, ω, and
......(6.89) .
Note first that the cloud has a number of natural frequencies and modes of oscillation. From Equation 6.85 it follows that, if
were zero, oscillations would only occur if
and, therefore, using Equation 6.86 for λ, the natural frequencies, ωN, of the cloud are found to be:
......(6.90) The lowest natural frequency, ω1, can be written in terms of the mean void fraction, αo=ητo/(1+ητo), as
- ω∞=ωN, the natural frequency of an individual bubble in an infinite liquid, and
- ωN=ωN[1+16ηRoAo2/π(2n-1)2]½ ; n=1,2, ..., which is an infinite series of frequencies of which ω1 is the lowest. The higher frequencies approach ωN as n tends to infinity.
Hence, the natural frequencies of the cloud will extend to frequencies much smaller than the individual bubble frequency, ωN, if the initial void fraction, αo, is much larger than the square of the ratio of bubble size to cloud size (αo » Ro2/Ao2). If the reverse is the case (αo « Ro2/Ao2), all the natural frequencies of the cloud are contained in a small range just below ωN.
......(6.91) Typical natural modes of oscillation of the cloud are depicted in Figure 6.21, where normalized amplitudes of the bubble radius and pressure fluctuations are shown as functions of position, r/Ao, within the cloud. The amplitude of the radial velocity oscillation is proportional to the slope of these curves. Since each bubble is supposed to react to a uniform far field pressure, the validity of the model is limited to wave numbers, n, such that n « Ao/Ro. Note that the first mode involves almost uniform oscillations of the bubbles at all radial positions within the cloud. Higher modes involve amplitudes of oscillation near the center of the cloud, which become larger and larger relative to the amplitudes in the rest of the cloud. In effect, an outer shell of bubbles essentially shields the exterior fluid from the oscillations of the bubbles in the central core, with the result that the pressure oscillations in the exterior fluid are of smaller amplitude for the higher modes. The corresponding shielding effects during forced excitation are illustrated in Figure 6.22, which shows the distribution of the amplitude of bubble radius oscillation, |
|, within the cloud at various excitation frequencies, ω. Note that, while the entire cloud responds in a fairly uniform manner for ω<ωN, only a surface layer of bubbles exhibits significant response when ω>ωN. In the latter case the entire core of the cloud is essentially shielded by the outer layer.
![]()
Figure 6.21 Natural mode shapes as a function of the normalized radial position, r/Ao, in the cloud for various orders n=1 (solid line), 2 (dash-dotted line), 3 (dotted line), 4 (broken line). The arbitrary vertical scale represents the amplitude of the normalized undamped oscillations of the bubble radius, the pressure, and the bubble concentration per unit liquid volume. The oscillation of the velocity is proportional to the slope of these curves.
![]()
Figure 6.22 The distribution of bubble radius oscillation amplitudes, | |, within a cloud subjected to forced excitation at various frequencies, ω, as indicated (for the case of αo(1-αo)Ao2/Ro2=0.822). From d'Agostino and Brennen (1989).
The variations in the response at different frequencies are shown in more detail in Figure 6.23, in which the amplitude at the cloud surface, |
(Ao,t)|, is presented as a function of ω. The solid line corresponds to the above analysis, which did not include any bubble damping. Consequently, there are asymptotes to infinity at each of the cloud natural frequencies; for clarity we have omitted the numerous asymptotes that occur just below the bubble natural frequency, ωN. Also shown in this figure are the corresponding results when a reasonable estimate of the damping is included in the analysis (d'Agostino and Brennen 1989). The attenuation due to the damping is much greater at the higher frequencies so that, when damping is included (Figure 6.23), the dominant feature of the response is the lowest natural frequency of the cloud. The response at the bubble natural frequency becomes much less significant.
![]()
Figure 6.23 The amplitude of the bubble radius oscillation at the cloud surface, | (Ao,t)|, as a function of frequency (for the case of αo(1-αo)Ao2/Ro2=0.822). Solid line is without damping; broken line includes damping. From d'Agostino and Brennen (1989).
The effect of varying the parameter, αo(1-αo)Ao2/Ro2, is shown in Figure 6.24. Note that increasing the void fraction causes a reduction in both the amplitude and frequency of the dominant response at the lowest natural frequency of the cloud. d'Agostino and Brennen (1988) have also calculated the acoustical absorption and scattering cross-sections of the cloud that this analysis implies. Not surprisingly, the dominant peaks in the cross-sections occur at the lowest cloud natural frequency.
![]()
Figure 6.24 The amplitude of the bubble radius oscillation at the cloud surface, | (Ao,t)|, as a function of frequency for damped oscillations at three values of αo(1-αo)Ao2/Ro2 equal to 0.822 (solid line), 0.411 (dot-dash line), and 1.65 (dashed line). From d'Agostino and Brennen (1989).
It is important to emphasize that the analysis presented above is purely linear and that there are likely to be very significant nonlinear effects that may have a major effect on the dynamics and acoustics of real bubble clouds. Hanson et al. (1981) and Mørch (1980, 1981) visualize that the collapse of a cloud of bubbles involves the formation and inward propagation of a shock wave and that the focusing of this shock at the center of the cloud creates the enhancement of the noise and damage potential associated with cloud collapse (see Section 3.7). The deformations of the individual bubbles within a collapsing cloud have been examined numerically by Chahine and Duraiswami (1992), who showed that the bubbles on the periphery of the cloud develop inwardly directed reentrant jets (see Section 3.5).
Numerical investigations of the nonlinear dynamics of cavity clouds have been carried out by Chahine (1982), Omta (1987), and Kumar and Brennen (1991, 1992, 1993). Kumar and Brennen have obtained weakly nonlinear solutions to a number of cloud problems by retaining only the terms that are quadratic in the amplitude; this analysis is a natural extension of the weakly nonlinear solutions for a single bubble described in Section 4.6. One interesting phenomenon that emerges from this nonlinear analysis involves the interactions between the bubbles of different size that would commonly occur in any real cloud. The phenomenon, called ``harmonic cascading'' (Kumar and Brennen 1992), occurs when a relatively small number of larger bubbles begins to respond nonlinearly to some excitation. Then the higher harmonics produced will excite the much larger number of smaller bubbles at their natural frequency. The process can then be repeated to even smaller bubbles. In essence, this nonlinear effect causes a cascading of fluctuation energy to smaller bubbles and higher frequencies.
In all of the above we have focused, explicitly or implicitly, on spherical bubble clouds. Solutions of the basic equations for other, more complex geometries are not readily obtained. However, d'Agostino et al. (1988) have examined some of the characteristics of this class of flows past slender bodies (for example, the flow over a wavy surface). Clearly, in the absence of bubble dynamics, one would encounter two types of flow: subsonic and supersonic. Interestingly, the inclusion of bubble dynamics leads to three types of flow. At sufficiently low speeds one obtains the usual elliptic equations of subsonic flow. And when the sonic speed is exceeded, the equations become hyberbolic and the flow supersonic. However, with further increase in speed, the time rate of change becomes equivalent to frequencies above the natural frequency of the bubbles. Then the equations become elliptic again and a new flow regime, termed ``super-resonant,'' occurs. d'Agostino et al. (1988) explore the consequences of this and other features of these slender body flows.
- Batchelor, G.K. (1969). In Fluid Dynamics Transactions, 4, (eds: W.Fizdon, P.Kucharczyk, and W.J.Prosnak). Polish Sci. Publ., Warsaw.
- Campbell, I.J. and Pitcher. A.S. (1958). Shock waves in a liquid containing gas bubbles. Proc. Roy. Soc. London, A, 243, 534--545.
- Carstensen, E.L. and Foldy, L.L. (1947). Propagation of sound through a liquid containing bubbles. J. Acoust. Soc. Amer., 19, 481--501.
- Chahine, G.L. (1982). Cloud cavitation: theory. Proc. 14th ONR Symp. on Naval Hydrodynamics, 165--194.
- Chahine, G.L. and Duraiswami, R. (1992). Dynamical interactions in a multibubble cloud. ASME J. Fluids Eng., 114, 680--686.
- Chapman, R.B. and Plesset, M.S. (1971). Thermal effects in the free oscillation of gas bubbles. ASME J. Basic Eng., 93, 373--376.
- Crespo, A. (1969). Sound and shock waves in liquids containing bubbles. Phys. Fluids, 12, 2274--2282.
- d'Agostino, L., and Brennen, C.E. (1983). On the acoustical dynamics of bubble clouds. ASME Cavitation and Multiphase Flow Forum, 72--75.
- d'Agostino, L., and Brennen, C.E. (1988). Acoustical absorption and scattering cross-sections of spherical bubble clouds. J. Acoust. Soc. Am., 84, 2126--2134.
- d'Agostino, L., and Brennen, C.E. (1989). Linearized dynamics of spherical bubble clouds. J. Fluid Mech., 199, 155--176.
- d'Agostino, L., Brennen, C.E., and Acosta, A.J. (1988). Linearized dynamics of two-dimensional bubbly and cavitating flows over slender surfaces. J. Fluid Mech., 192, 485--509.
- Foldy, L.L. (1945). The multiple scattering of waves. Phys. Rev., 67, 107--119.
- Fox, F.E., Curley, S.R., and Larson, G.S. (1955). Phase velocity and absorption measurements in water containing air bubbles. J. Acoust. Soc. Am., 27, 534--539.
- Gouse, S.W. and Brown, G.A. (1964). A survey of the velocity of sound in two-phase mixtures. ASME Paper 64-WA/FE-35.
- Hanson, I., Kedrinskii, V.K., and Mørch, K.A. (1981). On the dynamics of cavity clusters. J. Appl. Phys., 15, 1725--1734.
- Henry, R.E. and Fauske, H.K. (1971). The two-phase critical flow of one-component mixtures in nozzles, orifices, and short tubes. ASME J. Heat Transfer, 93, 179--187.
- Karplus, H.B. (1958). The velocity of sound in a liquid containing gas bubbles. Illinois Inst. Tech. Rep. COO-248.
- Kumar, S. and Brennen, C.E. (1991). Non-linear effects in the dynamics of clouds of bubbles. J. Acoust. Soc. Am., 89, 707--714.
- Kumar, S. and Brennen, C.E. (1992). Harmonic cascading in bubble clouds. Proc. Int. Symp. on Propulsors and Cavitation, Hamburg, 171--179.
- Kumar, S. and Brennen, C.E. (1993). Some nonlinear interactive effects in bubbly cavitation clouds. J. Fluid Mech., 253, 565--591.
- Macpherson, J.D. (1957). The effect of gas bubbles on sound propagation in water. Proc. Phys. Soc. London, 70B, 85--92.
- Maneely, D.J. (1962). A study of the expansion process of low quality steam through a de Laval nozzle. Univ. of Calif. Radiation Lab. Rep. UCRL-6230.
- Minnaert, M. (1933). Musical air bubbles and the sound of running water. Phil. Mag., 16, 235--248.
- Mørch, K.A. (1980). On the collapse of cavity cluster in flow cavitation. Proc. First Int. Conf. on Cavitation and Inhomogenieties in Underwater Acoustics, Springer Series in Electrophysics, 4, 95--100.
- Mørch, K.A. (1981). Cavity cluster dynamics and cavitation erosion. Proc. ASME Cavitation and Polyphase Flow Forum, 1--10.
- Muir, T.F. and Eichhorn, R. (1963). Compressible flow of an air-water mixture through a vertical two-dimensional converging-diverging nozzle. Proc. 1963 Heat Transfer and Fluid Mechanics Institute, Stanford Univ. Press, 183--204.
- Neusen, K.F. (1962). Optimizing of flow parameters for the expansion of very low quality steam. Univ. of Calif. Radiation Lab. Rep. UCRL-6152.
- Noordzij, L. (1973). Shock waves in mixtures of liquid and air bubbles. Ph.D. Thesis, Technische Hogeschool, Twente, Netherlands.
- Noordzij, L. and van Wijngaarden, L. (1974). Relaxation effects, caused by relative motion, on short waves in gas-bubble/liquid mixtures. J. Fluid Mech., 66, 115--143.
- Omta, R. (1987). Oscillations of a cloud of bubbles of small and not so small amplitude. J. Acoust. Soc. Am., 82, 1018--1033.
- Petroff, C. (1993). The interaction of breaking solitary waves with an armored bed. Ph.D. Thesis, Calif. Inst. of Tech.
- Silberman, E. (1957). Sound velocity and attenuation in bubbly mixtures measured in standing wave tubes. J. Acoust. Soc. Am., 18, 925--933.
- Symington, W.A. (1978). Analytical studies of steady and non-steady motion of a bubbly liquid. Ph.D. Thesis, Calif. Inst. of Tech.
- Tangren, R.F., Dodge, C.H., and Seifert, H.S. (1949). Compressibility effects in two-phase flow. J. Appl. Phys., 20, No. 7, 637--645.
- van Wijngaarden, L. (1964). On the collective collapse of a large number of gas bubbles in water. Proc. 11th Int. Cong. Appl. Mech., Springer-Verlag, Berlin, 854--861.
- van Wijngaarden, L. (1972). One-dimensional flow of liquids containing small gas bubbles. Ann. Rev. Fluid Mech., 4, 369--396.
Last updated 12/1/00.
Christopher E. Brennen